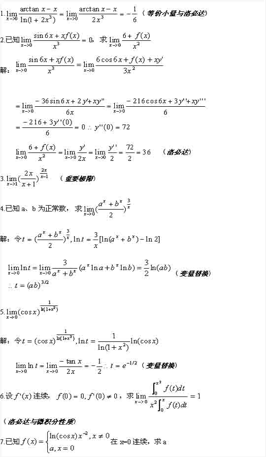
2016湖北成人高考专升本《高等数学》复习第一讲
上一篇:暂无
《湖北成考网》免责声明
(一)由于各方面情况的调整与变化本网提供的考试信息仅供参考,敬请以教育考试院及院校官方公布的正式信息为准。
(二)本网注明信息来源为其他媒体的稿件均为转载体,免费转载出于非商业性学习目的,版权归原作者所有。如有内容与版权问题等请与本站联系,联系邮箱:812379481@qq.com。
-
湖北成人高考报考服务
-
2025年全国成人高考预计还有
00天
- 考试时间:10月19、20日
- 湖北成考网上报名入口 湖北成考院校专业查询
最新资讯
常见问题
-
湖北成考
-
扫一扫添加[
招生老师微信 ](湖北成考问题,在线咨询!)








